23、if-elif-else语句

小白量化 2025-12-09 15:44:49 157 举报

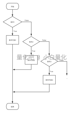
1、if-elif-else语句(多选一)
1.1 语法格式

# 语法格式
if 条件表达式1:
    条件1成立执行的代码块
elif 条件表达式2:
    条件2成立执行的代码块
...(elif数量没有限制,可以根据需要 添加多个elif语句来检查多个条件,从而更灵活的处理复杂的逻辑判断)
else:
    所有条件都不成立执行的代码块
# 示例
score = -5
# 85分级以上:优秀
if 85 <= score <= 100:
    print("优秀")
# 60分及以上:及格
elif 60 <= score < 85:
    print("及格")
# 0-60分:不及格
elif 0 <= score < 60:
    print("不及格")
else:    # 如果上述条件均不满足,则执行这个代码块
    print("分数无效!")

1.2 作用
if-elif-else 按顺序在多个条件中逐一检查,一旦某个条件为True,则立即执行该条件下对应的代码块,并跳过所有后续的elif和else及其对应的代码块。
如果所有条件都不满足,则直接执行else下缩进的代码块!

量化小白,从0开始学量化! 1

著作权归文章作者所有。 未经作者允许禁止转载!

最新回复 ( 0 )
发新帖
0
DEPRECATED: addslashes(): Passing null to parameter #1 ($string) of type string is deprecated (/data/user/htdocs/xiunophp/xiunophp.min.php:48)